Hoy quiero compartir con los lectores unos conceptos matemáticos, que aun cuando son bastante simples, poco se conocen.   

Factorial

Empecemos por recordar que el factorial de un número natural n se define como:

n! := n · (n – 1) · (n – 2) · … · 2 · 1

es decir, es el producto de ese número por todos los naturales que le preceden hasta 1. El factorial del número 0 se define como 

0! := 1.

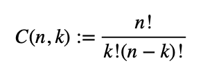
El concepto de factorial es bastante útil; por ejemplo el número de permutaciones de n elementos, es decir el número de formas en las que pueden ordenarse n elementos es exactamente n! Por esta razón ayuda para expresar ciertas fórmulas en problemas de conteo: ¿de cuántas formas podemos elegir k elementos de un conjunto de n elementos? La respuesta es:

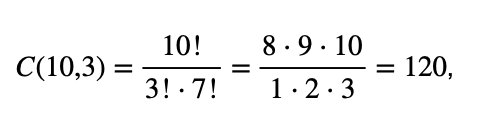
Así por ejemplo, si queremos saber de cuántas formas diferentes podemos conformar un comité de 3 personas, seleccionadas de un grupo de 10 personas, la respuesta es:

es decir que podemos conformar 120 comités diferentes, compuestos de 3 personas, elegidas del grupo de 10.

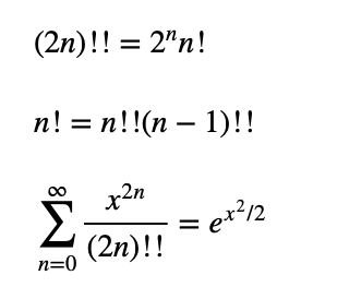
Doble factorial

Menos conocido que el factorial es el concepto de doble factorial, que para un número natural n se denota por medio de n!!, que no debe confundirse con (n!)! y que a diferencia del factorial n!, en lugar de multiplicar todos los números menores o iguales que n, hasta 1, se multiplican solo los naturales menores o iguales que tienen la misma paridad de n; es decir:

Así por ejemplo:

8!! = 8 x 6 x 4 x 2 = 384

7!! = 7 x 5 x 3 x 1 = 105

Por definición también se tiene que:

0!! := 1

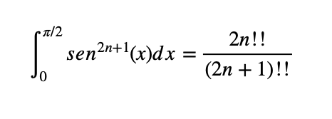
La notación de doble factorial se empezó a usar también con el fin de simplificar la expresión de algunas fórmulas como por ejemplo el valor de la integral:

 Y hay también una serie de propiedades cuyas demostraciones proporcionan excelentes ejercicios matemáticos, así por ejemplo:

son bonitos retos para los lectores.

Causa una curiosidad especial comprobar que el doble factorial de dos números enteros consecutivos, digamos 2n-1 y 2n, guarda una relación que involucra al número π, se trata de una aproximación que a medida que n crece es más precisa:

Subfactorial

Si bien n! nos indica, como se dijo antes, el número de permutaciones de n elementos, entre las formas de ordenar n elementos algunas mantienen esos elementos en la misma posición y otras no lo hacen. Por ejemplo, los posibles arreglos del conjunto {1, 2, 3} son: 

mantienen al menos uno de los elementos (escrito en rojo) en la posición original que ocupan en el conjunto {1, 2, 3}, mientras que en los arreglos

{2, 3, 1} y {3, 1, 2}

ningún elemento conserva la posición inicial.

Justamente el subfactorial de n cuenta todas las posibles ordenaciones de n elementos en las que ninguno de los elementos ocupa su posición inicial. Del ejemplo anterior podemos entonces decir que el subfactorial de 3 es igual a 2, ya que hay dos arreglos que satisfacen esta condición. 

El subfactorial de n se denota por medio de !n y también, a mi juicio mejor, como n¡, más usado entre quienes escribimos en español y que evita que el símbolo ! se interprete como el factorial del término que lo precede. Convenido esto, el ejemplo dado indica que:

3¡ = 2

Como en los casos del factorial y el doble factorial, se define

0¡ = 1

Pero, ¿cómo se define en general el subfactorial? 

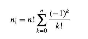
La fórmula que define el subfactorial de un entero n es la siguiente:

En el ejemplo que se presentó antes, si usamos la fórmula, tenemos que

3¡ = 3! [ 1 + (-1) + 1/2! -1/3! ] = 6 [ 1/2 – 1/6] = 6 [ 2/6 ] = 2.

También puede usarse la fórmula recurrente:

n¡ = n · (n-1)¡ + (-1) para n ≥ 1.

Algunos valores del subfactorial son:

¿Qué uso real tiene el subfactorial? Puede ser una herramienta útil para contar combinaciones o arreglos donde no se permite que algún elemento se encuentre en su posición original. Veamos unos ejemplos:

  1. En el conocido juego del amigo secreto con el que se busca repartir regalos entre los miembros de un grupo, se exige que cada uno ofrezca un regalo a alguien del grupo pero con la condición de que nadie reciba su propio regalo; entonces el subfactorial cuenta el número de formas en que pueden repartirse los regalos dentro de un grupo de n personas.
  2. Este es un bonito problema para usar el subfactorial: hay 5 estudiantes, residentes de medicina, que tienen que hacer turnos nocturnos juntos en un hospital y al terminar esa jornada nocturna, siempre se reúnen a desayunar en la cafetería del hospital, en la que deben formar una fila para hacer el pedido y pagar. Un buen día el director del hospital, al verlos en la fila, les ofrece pagarles el desayuno diario, siempre y cuando todos los días siguientes se organicen en la fila de una forma diferente sin que ninguno de ellos esté en la misma posición que está ocupando ahora. El director se imaginó que debería invitarles a desayunar una semana, pero ¡oh sorpresa! Uno de los estudiantes, que había estudiado 4 semestres de matemáticas, le dice: “gracias director, me ahorraré el valor del desayuno durante mes y medio”. ¿Por qué? ¿Cuántos días deberá el director del hospital pagar el desayuno de los 5 residentes?

    Respuesta para el incrédulo director: 5¡ = 44.

  3. Otro problema bastante conocido es el siguiente: al asistir a la ópera, 10 caballeros que llevaban sombrero lo dejan en el perchero al ingresar al teatro. Al salir, después de la función, cada uno toma un sombrero al azar. ¿Cuál es la probabilidad de que ninguno de los caballeros recoja el sombrero con el que ingresó?

    Respuesta: (10¡) / (10!) = 1.334.961 / 3.628.800 = 0,368; es decir 36,8%

Estos conceptos de factorial, doble factorial y subfactorial, como puede observarse, son de una gran riqueza, utilidad e interés para resolver los problemas de conteo y para el cálculo de probabilidades.

@MantillaIgnacio